기존에 주었던 필수강의 및 프로젝트가 종료되어서 시간이 남아 개인적으로 품질경영기사 공부를 하고있었습니다.
오늘은 공업통계쪽 리마인드를 위해 복습을 했고 필기를 하였습니다.(기존에도 조금씩 하고있긴 했습니다)
데이터를 배워도 공업통계에 대해 지식이 없으면 활용할 수 없으니 해당내용도 나중에 QA/QC업무를 할때 도움이 될것이라 확신합니다.

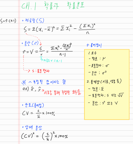
시료의 분산의 경우 S, s^2라고 표현하지만
모분산의 경우 V(x), σ^2 으로 표현합니다.


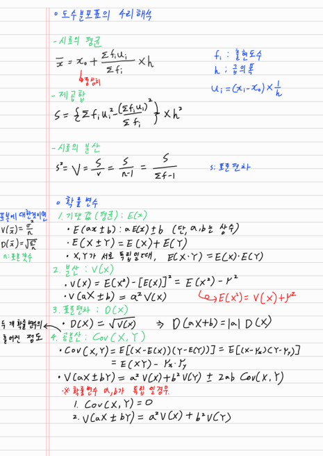
도수분포표의 수리해석같은 경우
위와 같은 도수분포표를 보고 계산하게 됩니다.
시료의 평균과 시료의 제곱합을 구하는 공식은 이해를 기반해 외워줘야 합니다.

여기서 추가로 표준편차 크기는
초기하분포 ≤ 이항분포 ≤ 푸아송 분포
가 됩니다.
정밀도는 표준편차의 크기가 작을수록 좋겠죠.
| P, n, x + 복원추출 | 이항분포 |
| N,P,n,x + 비복원 추출 | 초기하분포 |
| m(부적합수), x(=c) | 푸아송 분포 |

저기서 α 는 적합품인데 불량품으로 판단할 확률입니다.
역으로 1- α 는 적합품을 적합품으로 판단할 확률이니 신뢰도이죠.

데이터 분석 교육간에도 배우고 있지만 가설설정이 무척 중요합니다.
H1을 잘못 정하면 검정이나 추정이 의미가 없어지게 되죠.

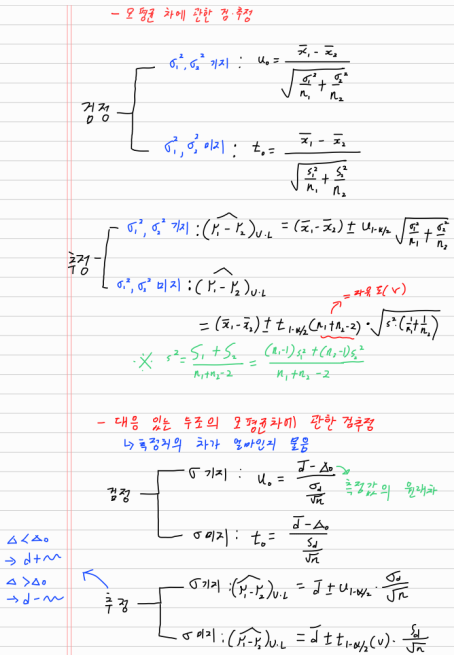
대응있는 두조의 경우 표 위에 1,2,3번 같이 데이터 조가 있다면 대응있는 두조로 계산하는게 맞지만
없다면 모평균차에 대한 검추정으로 계산해주어야 합니다.


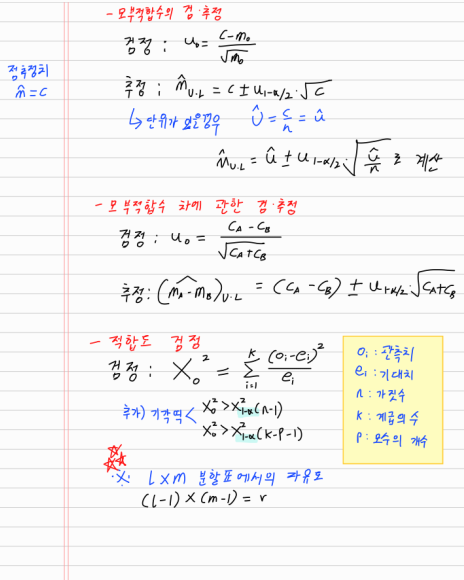
여기까지가 상관 및 회기 분석 전까지의 공업통계 파트입니다.
1과목의 1/2정도의 내용을 간략하게 정리해보았습니다.
문제풀때는 공식이 기억나는데 한 일주일 지나면 다 까먹는것 같습니다.
계속 두고두고 메모해가면서 연습해볼 예정입니다.